1、引言
TC18鈦合金,名義成分為Ti-5Al-5Mo-5V-1Cr-1Fe,是一種高強近β鈦合金,具有高比強度和優異的抗沖擊、抗疲勞性能,以及良好的淬透性和焊接性,在航空領域具有廣闊的應用前景。目前,TC18鈦合金已用于制備大型起落架和機體的關鍵承力構件,以取代300M等超高強度鋼,在滿足服役性能要求的同時起到顯著的減重效果[2-3]。
TC18等近β鈦合金在加工過程中,主要通過鍛造和熱處理工藝實現形性協同控制,滿足構件的形狀尺寸和組織性能要求。然而,實際鍛造過程中,由于大尺寸鍛坯的溫度和變形分布不均勻,以及多火次鍛造和熱處理的交替作用,坯料內部極易出現細晶亮帶和β織構等缺陷[4-6]。研究表明,上述缺陷直接影響鈦合金的強度、塑性和斷裂韌度等關鍵性能[7-9]。因此,有必要對細晶亮帶等鍛造缺陷的形成機理進行深入研究。王少陽等人[10]在TC4-DT鈦合金鍛件中發現異常的低倍亮斑組織,對該類缺陷的組織特征和力學性能進行了表征,確認缺陷處存在強取向性的大尺寸β晶粒,并探討了工藝改進方案。Xu等人研究了TC32鈦合金鍛坯中的細晶亮帶缺陷,研究發現該缺陷對應尺寸達到100mm的β立方晶粒 (<100>方向平行于鍛造方向),且將亮帶缺陷的形成歸因于立方晶粒的異常長大。顏孟奇等人[4,7]對Ti55531合金自由鍛件的亮帶缺陷進行了系統研究,先后對其組織、取向特征和力學性能進行了表征,研究了細晶亮帶缺陷對合金室溫強度、塑性和沖擊韌性的影響,并對亮帶缺陷的成因進行了分析,認為<100>取向的大尺寸β晶粒是通過相近取向的晶粒發生亞晶界合并形成的,隨著鍛造火次的增多逐漸向表面長大。
綜上所述,鈦合金鍛造過程中產生的細晶亮帶缺陷,對服役性能存在重要影響。但是,目前關于亮帶缺陷的研究較少,其形成機制尚不明確。本研究通過特定鍛造工藝在TC18鈦合金鍛坯中引入細晶亮帶缺陷,采用多種分析方法對其宏微觀組織形貌、成分和取向特征等進行系統表征,結合Gleeble熱壓縮研究細晶亮帶缺陷的形成機理,并探索減少和消除亮帶缺陷的鍛造方式。
2、實驗
試驗所用原材料為西部超導材料科技有限公司生產的TC18鈦合金250mm棒材,金相法測得相變點為865~870℃。在815℃連續鐓拔15火次,獲得尺寸為200mmx200mmx360mm的方坯(1#鍛坯),解剖發現坯料中心存在細晶亮帶缺陷。然后,取料在815℃連續鐓拔后,分別在900℃鐓拔2火次和10火次,獲得2#和3#鍛坯。
采用蔡司光鏡(OM)和Sigma500型場發射掃描電鏡(SEM)表征TC18鈦合金的顯微組織形貌,并結合電子背散射衍射(EBSD)技術分析其相組成和晶體取向等信息。顯微組織表征試樣研磨后采用Kroll試劑腐蝕3~5s,EBSD試樣使用二氧化硅懸浮液拋光,拋光時間約40min。
采用Gleeble熱壓縮試驗并結合顯微組織表征,研究TC18鈦合金的形變織構特征,以及細晶亮帶缺陷在不同加載方式下的演化過程。在2#鍛坯細晶亮帶區域分別沿正向(壓縮方向平行于鍛壓方向)和斜45°方向取樣,并與鍛坯邊緣等軸晶區域的正向壓縮試樣進行對比分析。Gleeble熱壓縮溫度為900℃,50%變形量,應變速率分別為0.1和0.01s-1。
3、結果與分析
3.1顯微組織形貌


對TC18鈦合金鍛坯邊緣等軸晶和中心細晶亮帶區域進行高倍SEM分析,其結果如圖2所示。圖2a對應1#鍛坯邊緣區域,呈現典型的雙態組織,β基體中可以觀察到大量細小的片狀α相,同時均勻分布著一定量的α等軸晶粒。圖2b為1#鍛坯中心亮帶缺陷處的顯微組織,呈典型的網籃組織特征,細小的α片層均勻分布在整個區域中,且具有一定的擇優取向。圖2c和2d分別為2#鍛坯邊緣及中心亮帶缺陷,呈現相同的網籃組織特征,并且亮帶區域的網籃組織細小均勻,α相形貌相近且存在明顯的擇優取向,而邊緣區域可以觀察到β相晶界,沿晶界分布著粗大的α相和向晶內生長的α片層,呈一定的魏氏組織特征。此外,2#鍛坯不同區域的能譜結果表明,邊緣等軸晶和中心亮帶缺陷沒有明顯的成分差異,如表1所示。
表1 TC18鈦合金(2#鍛坯)不同區域的化學成分
Table 1 Composition of TC18 alloy(2# forging stock) in different regions(wt%)
| Region | Ti | Mo | V | Al | Fe | Cr |
| Edge | 82.9 | 5.1 | 5.1 | 4.9 | 1.0 | 0.9 |
| Bright band | 82.7 | 5.3 | 5.2 | 4.8 | 1.0 | 0.9 |
1#鍛坯的鍛造溫度為815℃,對應兩相區鍛造,理論上心部及邊緣均應獲得雙態組織。然而,如圖2所示1#鍛坯細晶亮帶區域和2#鍛坯的心部及邊緣區域都是網籃組織,是鈦合金從β單相區冷卻后的典型組織。這一結果表明,在鍛造過程中1#鍛坯中心區域可能達到甚至超過了β相變溫度,存在顯著的變形升溫。
3.2晶體取向特征


3.3β晶粒尺寸
上述組織形貌及晶體取向結果表明,1#~3#鍛坯細晶亮帶區域的β相晶粒尺寸較大,且保持立方取向或存在<100>織構。由于SEM和EBSD分析區域尺寸較小,并且都沒有觀察到β晶界,因此無法確定細晶亮帶區域的β晶粒尺寸。為此,在鍛坯中心取大尺寸試樣,并進行了系統分析。
首先,在1#~3#鍛坯細晶亮帶區域隨機取樣,試樣截面尺寸約15mm10mm,900℃保溫2 min后淬火以消除α相的影響,然后對試樣邊角和中心區域進行EBSD表征,位置如圖5a所示。單個分析區域尺寸約3mm x2mm,步長為15μm。結果表明,在整個試樣對應的厘米尺度內,鍛坯細晶亮帶區域的β相取向基本一致。圖5b~5f為3#鍛坯試樣5個不同區域的{100}極圖,可以看到試樣不同區域的β相均為立方取向,每個分析區域內部和不同區域之間整體取向差均在2°~5°。

在上述實驗的基礎上,進一步增大試樣尺寸至50mm 50mm。圖6所示試樣位于2#鍛坯邊部和中心細晶亮帶的交界處,在900℃保溫2min淬火后進行組織形貌分析。結合宏微觀分析結果可以看出,鍛坯邊部的β晶粒呈等軸狀,晶粒尺寸有一定差異,在0.2~1mm不等,而細晶亮帶區域基體表現為1個完整晶粒,在OM和SEM下均未觀察到晶界。亮帶區域的β立方晶粒內部存在少量呈島狀分布的細小晶粒,晶粒尺寸與邊部等軸晶區域相近。

結合不同鍛坯的宏微觀組織表征可以得出,TC18鈦合金鍛后整個細晶亮帶區域應為單個 β立方晶粒,晶粒尺寸在100mm以上。
4、討論
TC18鈦合金鍛坯中心的細晶亮帶缺陷即β立方晶粒的形成和長大,取決于鍛造過程中的變形條件和形變機制,并受鍛造方式的影響。
4.1組織不均勻性
考慮到TC18鈦合金鍛坯亮帶缺陷與邊部區域的成分相同,而鍛后顯微組織和晶體取向存在明顯差異,因此首先分析變形條件包括溫度、應力應變等方面的內外差異,進而討論其組織不均勻性。
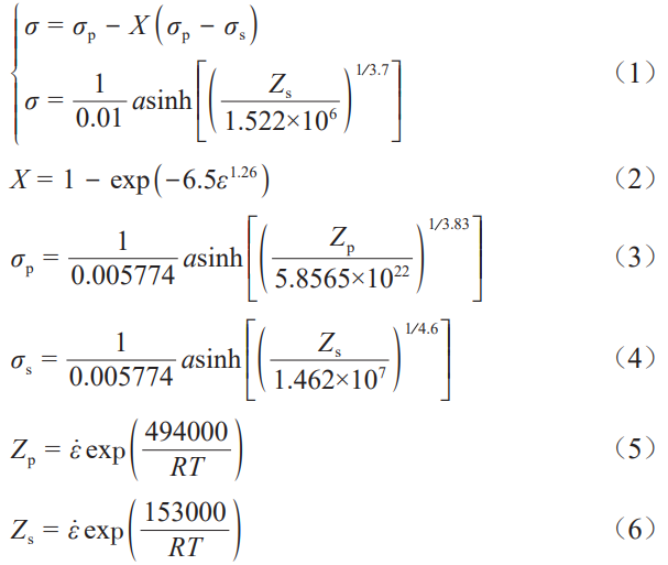
采用有限元法對TC18鈦合金鐓拔過程中溫度和應變的分布及演化進行數值模擬,參考文獻[14-15]中的性能數據建立簡化的雙曲正弦本構模型:

式中, σp和 σs分別為兩相區的峰值應力和穩態應力, X對應軟化率, Zp和 Zs 分別是基于峰值應力和穩態應力求得的Zener-Hollomon參數。模型中忽略了兩相變形過程中的瞬態應變硬化和 β相變形式的不連續屈服階段,以確保流變強度的連續性,并采用JMAK方程描述軟化動力學。參考文獻[16]可以發現,上述本構模型預測的流變曲線與實驗數據擬合較好。

上述模擬結果表明,TC18鈦合金鍛造過程中心部和邊部區域的變形條件存在較大差異,心部塑性變形量和溫度均顯著高于邊部區域。尤其值得注意的是,鍛坯心部區域在連續鐓拔后,溫度可能升高至β相變溫度以上,而邊部仍處于兩相區溫度范圍,這可能是細晶亮帶缺陷形成的重要原因。此外,研究表明鈦合金在熱壓縮變形時,由于應變能和溶質元素分布的影響,會導致合金β相變溫度降低[17],進一步加劇鍛坯內外的組織差異。因此,TC18鈦合金鍛坯變形條件尤其是溫度分布不均造成的組織不均勻性,是細晶亮帶缺陷形成的重要原因。
4.2β立方晶粒的形成
TC18鈦合金細晶亮帶缺陷為尺寸在100mm以上的β立方晶粒,與普通的晶粒異常長大現象相比[18],具有一定的特殊性。首先,亮帶缺陷的β晶粒具有特定取向,<100>方向平行于鍛造方向。其次,β立方晶粒尺寸遠大于普通的異常長大晶粒。因此,研究TC18鈦合金細晶亮帶缺陷的形成,需要綜合考慮取向演化和晶粒長大。
如前文所述,鈦合金中β相在熱壓縮過程中主要產生<100>和<111>2種絲織構,并且<100>織構隨著溫度升高、應變速率降低和應變量的增加逐漸增強。圖8為TC18鈦合金在900℃不同應變速率下熱壓縮后β相的IPF云圖,圖中豎直方向對應壓縮方向。圖8a和8b中β相的主要織構組分均為<100>和<111>織構,且隨著應變速率降低,<100>織構明顯增強。當應變速率為0.1s時,<100>和<111>取向的β晶粒明顯沿水平方向拉長,且內部亞結構(主要是小角晶界,2°~10°)較少,只在晶界邊緣尤其是2種不同取向β晶粒的交界區,存在大量小角晶界和局域應變。此時,β相的變形機制以動態回復為主,晶粒在伸長的同時形成取向織構。隨著應變速率降至0.01s-1,晶粒內部小角晶界的分布更加均勻,并且不同取向β晶粒交界處出現一定數量的再結晶晶粒,晶粒尺寸為20~50μm,取向以<100>為主。再結晶晶粒的晶界與小角晶界網絡重疊,并且存在大量不連續大角晶界,如圖中箭頭所示,對應連續動態再結晶??紤]到鍛坯為長方體,且鐓拔過程中反復沿3個正交方向進行壓縮變形,鍛坯心部<100>取向的β晶粒體積分數會不斷增大,并最終合并形成大尺寸的立方晶粒。

TC18鈦合金鍛坯熱處理后的亞結構如圖9所示,試樣位于鍛坯邊緣與亮帶缺陷交界處,熱處理方式為900℃/2 min/爐冷至850℃/90 min/空冷。圖9a為OM拼圖,圖中左側對應鍛坯邊部β等軸區域,右側為細晶亮帶區域。從圖中可以看出,亮帶缺陷即β立方晶粒經退火處理后出現大量亞結構,表現為密集分布的黑色跡線,在遠離交界處的區域呈條帶狀,形貌類似柱狀晶,整體軌跡對應鍛坯的流變曲線,如圖中紅色虛線所示。結合圖9b~9c所示的β晶粒取向和局域取向差(KAM)分布結果,可以確定β晶粒內的亞結構為亞晶界,且晶界取向差在0.5°左右。如圖9所示β等軸晶區的晶界較為平直,且交界處的β晶界均向亮帶區域凸起,表明熱處理過程中β等軸晶有一定程度的長大,并且晶界向右側亮帶區域遷移。另外,β等軸晶內部同樣存在一定量的亞晶界,如圖9a中紅色虛線框標注區域,但亞晶界的數量較少,且主要分布在晶粒中心區域。

一般認為,相比大角晶界,亞晶界的遷移更加困難[19],因此內部含有大量亞晶界的β立方晶粒在退火過程中難以長大。此時,β等軸晶區隨機取向的晶粒發生長大,晶界向四周和β立方晶粒內部遷移,在此過程中等軸晶內部大量亞晶界消失,只在晶粒中心存在少量殘留。這一亞晶界驅動晶粒長大的機制在Cu-Al-Mn等合金循環熱處理中存在[20],可以解釋TC18鈦合金退火后的晶粒形貌和亞結構分布特征,以及1#~3#鍛坯隨著900℃多火次鍛造β立方晶粒尺寸的減小。但是,上述理論無法解釋大尺寸β立方晶粒最初的形成過程。因此,β立方晶粒的形成只能歸因于3個正交方向反復的壓縮變形,導致鍛坯心部<100>織構不斷強化,最終相近取向的<100>晶粒合并成1個大尺寸的β立方晶粒。立方晶粒內部存在大量變形亞結構,在退火過程中形成亞晶界。
4.3鍛造方式的影響
為了驗證鍛造方式對細晶亮帶缺陷的影響,對比分析了正向和斜45°方向壓縮條件下β立方晶粒的組織演化,其結果如圖10所示。可以看到,正向壓縮50%后,試樣中心β立方晶粒的OM形貌沒有明顯變形特征,且晶體取向完全沒有變化。產生這一現象的原因在于bcc單晶變形通過“鉛筆式滑移”進行[21],在此過程中滑移系相對<100>對稱,旋轉分量相互抵消,立方晶粒并不發生轉動。斜45°方向壓縮時,在試樣中心截面可以觀察到明顯的斜向剪切帶,整體呈菱形,如圖10b所示。對菱形右側一角進行EBSD表征,結果見圖10d,可以發現剪切帶區域存在明顯的局域應變,兩側有明顯的晶體取向差異,存在一定量的小角晶界和不連續的大角晶界。

上述結果表明,由于bcc結構特殊的變形方式和較小的泰勒因子,在正向壓縮變形過程中,β立方晶粒可以保持取向不變。只有通過斜向的壓縮變形,才能夠在β立方晶粒內部產生剪切變形帶,并在后續退火時通過再結晶消除細晶亮帶缺陷。因此,盡管2#和3#鍛坯在900℃進行了多個火次的鐓拔,但由于鍛造方式仍然沿正交方向,細晶亮帶缺陷并沒有明顯改善。
5、結論
1)TC18鈦合金鍛后心部的細晶亮帶缺陷為網籃組織,對應單個β晶粒,晶粒的<100>方向平行于鍛造方向,晶粒尺寸約100mm。
2)TC18鈦合金鍛造過程中,存在顯著的變形升溫,鍛坯心部的應變量和溫度明顯高于邊部區域,是造成心部亮帶缺陷的重要原因。
3)細晶亮帶缺陷處的大尺寸β立方晶粒,是由于沿正交方向反復壓縮變形,導致鍛坯心部<100>織構不斷強化,相近取向的<100>晶粒合并形成的。
4)由于亞晶界相比大角晶界更難遷移,在退火過程中β晶界向含大量亞晶界的立方晶粒內部移動,因此可以通過退火處理減小細晶亮帶缺陷尺寸。
5)β立方晶粒在正向壓縮時可以保持取向不變,為了減少甚至消除細晶亮帶缺陷,鍛造過程中需要采用對角拔長或倒八方等工序,避免沿正交方向反復變形。
參考文獻References
[1]Huang Xu(黃旭),Zhu Zhishou(朱知壽),Wang Honghong(王紅紅). Advanced Aeronautical Titanium Alloys and Applications(先進航空鈦合金材料與應用)[M].Beijing:National Defense Industry Press,2012
[2] Li Yi(李毅),Zhao Yongqing(趙永慶),Zeng Weidong(曾衛東).Materials Review(材料導報)[J],2020,34(S1):280
[3] Sun Yankun(孫艷坤),Zhang Wei(張威). Hot Working Technology(熱加工工藝)[J],2018,47(20):22
[4] Yan Mengqi(顏孟奇),Zhang Yeqin(張業勤),Li Kai(李凱)et al.Chinese Journal of Rare Metals(稀有金屬)[J],2016,40(6):534
[5] Chen W, Zeng W D, Zhao Y Q et al. Materials Science and Engineering A[J],2021,807:140825
[6] Gu Bin(谷賓), Xiong Zhihao(熊智豪),Yang Ping(楊平)et al.Rare Metal Materials and Engineering(稀有金屬材料與工程)[J],2024,53(9):2420
[7]Yan Mengqi(顏孟奇), Wu Zehao(吳澤浩), Tong Jianbo(佟健博)et al. Acta Metallurgica Sinica(金屬學報)[J],2025,61(10):1555
[8] Xu Hao(徐浩),Sun Qianjiang(孫前江),Wen Chao(文超)et al.Rare Metal Materials and Engineering(稀有金屬材料與工程)[J],2024,53(1):178
[9] Yang J, Huang S, Wang Q et al. Journal of Materials Research and Technology[J], 2023, 27: 5840
[10] Wang Shaoyang(王少陽), Wang Wensheng(王文盛), Wu Qunlan(伍群蘭)et al.Hot Working Technology(熱加工工藝)[J],2019,48(13):177
[11] Xu J W, Ji X, Zeng W D et al. Materials Letters[J], 2024, 369:136746
[12] Li Zhishang, Xiong Zhihao, Yang Ping et al. Rare Metal Materials and Engineering[J],2022,51(7):2446
[13] Gupta A, Khatirkar R, Singh J. Journal of Alloys and Compounds[J],2022,899:163242
[14] Wang Q, Sha A, Li X et al. Materials Science Forum[J], 2013,747:878
[15] Lin Y C, Pang G D, Jiang Y Q et al. Vacuum[J], 2019, 169:108878
[16] Liu X H, Wang T, Ren X L et al. Metals[J], 2024, 14(7): 792
[17] Liu Xianghong(劉向宏),Zhao Ning(趙寧),Wang Tao(王濤)et al.Rare Metal Materials and Engineering(稀有金屬材料與工程)[J],2024,53(11):3101
[18] Najafkhani F, Kheiri S, Pourbahari B et al. Archives of Civil and Mechanical Engineering[J],2021,21:1
[19] Huang S, Ma Y, Zhang S et al. Metallurgical and Materials Transactions A[J],2018,49:6390
[20] Kusama T, Omori T, SaitoT et al. Nature Communications[J],2017,8(1):354
[21] Courtney T H. Mechanical Behavior of Materials[M]. Long Grove: Waveland Press,2005
(注,原文標題:TC18鈦合金鍛造過程細晶亮帶缺陷的形成機制_劉向宏)
無相關信息
